超快光学研究团队在强场物理方面取得重要进展
一、强激光脉冲驱动的原子非次序双电离超快电子动力学操控研究
原子分子中的电子关联效应是物理、化学及生命科学等关键领域的基础过程。强场非次序电离为人们研究自然界的电子关联效应提供了最简单且最有效的研究途径。如何通过调制驱动光场实现对电子返回波包时空特性的精准操控,进而建立原子分子内电子超快动力学过程的定量探测与关联特性调控方法,乃是当前强场物理领域的重要科学问题之一。
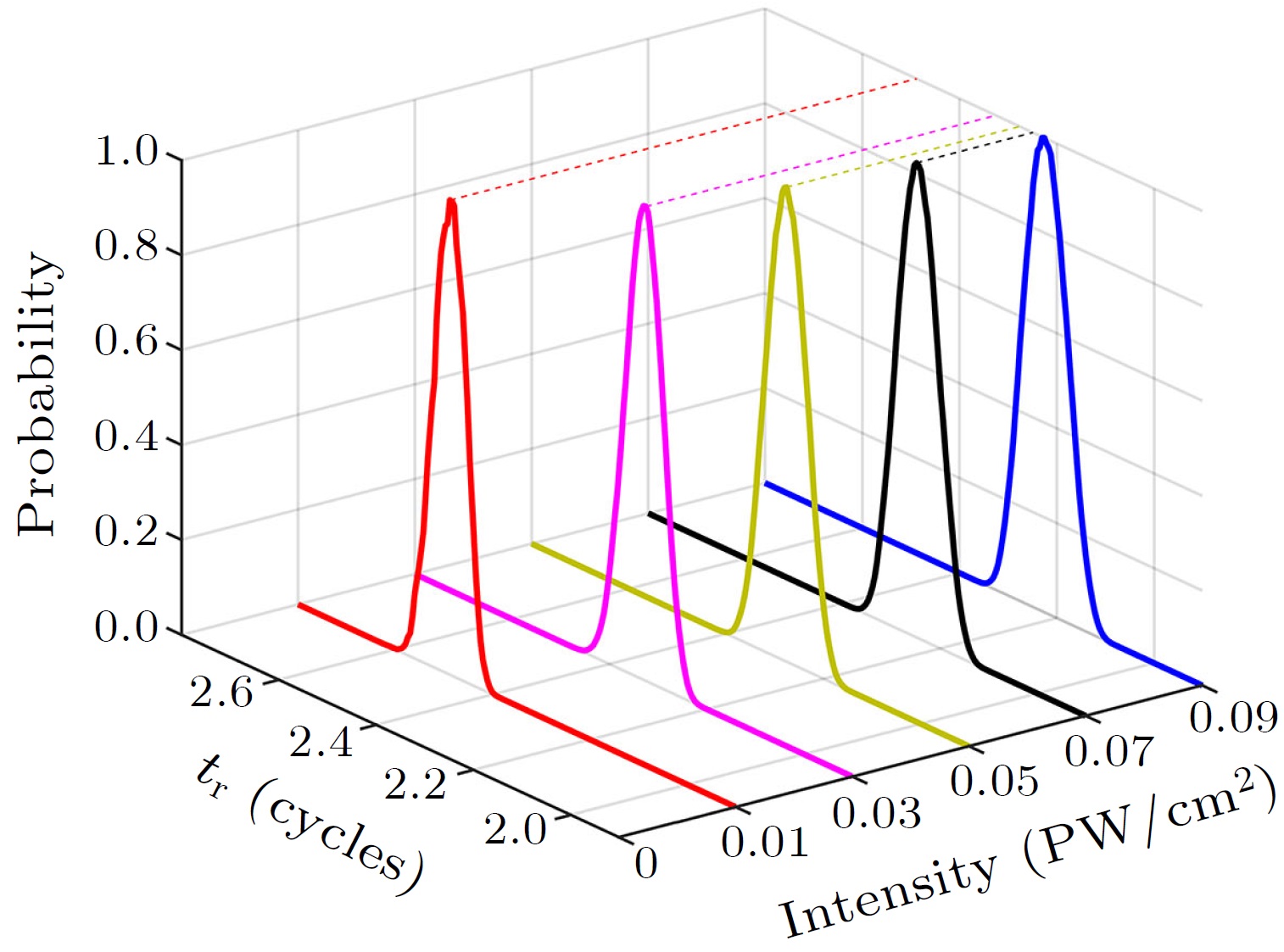
近日,我院超快光学研究团队提出利用少周期负啁啾光学近场,在比较宽广的激光强度范围内,可将非次序双电离电子波包的返回时间窗口精确限制在孤立的几百阿秒时间范围内,如图1所示,进而通过调控激光强度,实现了关联电子发射方向的精确操控。研究结果不仅有助于加深人们对非次序双电离亚光周期的电子超快动力学行为的认识,也为精确操控电子关联特性提供了新方法。
该工作以《Precise control of the recollision dynamics in nonsequential double ionization by spatially inhomogeneous few-cycle negatively chirped laser pulses》为题,发表于物理学主流期刊《Chinese Physics Letters》(SCI 一区)。我院2023级硕士研究生吴凤润与李盈傧博士为论文共同第一作者,李盈傧博士、许景焜博士、余本海教授为论文共同通讯作者。

图1:五种不同激光强度下非次序双电离再碰撞时间分布。
论文网址:“https://cpl.iphy.ac.cn/article/doi/10.1088/0256-307X/42/5/053703”
二、强激光脉冲驱动的原子非次序双电离非偶极效应研究
先前强激光与原子、分子相互作用的理论研究中,人们通常采用偶极近似并忽略驱动光场的磁场分量。最近,磁场效应在非次序双电离中引起了广泛的关注,这是因为它涉及复杂的再碰撞过程和强烈的电子-电子关联效应。之前研究工作大多聚焦在光电子沿激光传播方向的动量偏移。我院超快光学团队创新性地提出通过观测沿激光磁场方向的关联电子动量分布来研究激光磁场对非次序双电离再碰撞动力学的影响。研究指出,在激光磁场诱导的洛伦兹力的作用下,多次返回中沿激光磁场方向具有较大初始动量的隧穿电子会沿激光传播方向在原点附近振荡。这种振荡使某些特定的隧穿时间对应的隧穿电子不能有效的返回母核离子附近,从而导致它很难碰出或激发束缚电子并诱导非次序双电离。因此,沿激光磁场方向具有较大初始动量的隧穿电子会被抑制,导致沿激光磁场方向的关联电子动量分布更集中在坐标轴原点附近,如图2所示。
该工作以《Electron momentum correlation along laser magnetic field direction as a probe of nondipole effect in strong-field nonsequential double ionization》为题,发表于光学主流期刊《Optics Express》(SCI 二区)。我院许景焜博士与李盈傧博士为论文共同第一作者,李盈傧博士与华中科技大学周月明教授为论文共同通讯作者,余本海教授与陆培祥教授参与指导了该工作。
图2:归一化的沿激光磁场方向上关联电子动量分布。(a) 和 (b) 分别展示了考虑磁场效应和采用偶极近似的结果。(c) 为 (a) 和 (b) 对应关联电子动量分布的差值。激光强度为 1×1014 W/cm2,激光波长为 3000 nm。论文网址:“https://opg.optica.org/oe/fulltext.cfm?uri=oe-32-19-33452&id=558442”
以上两个工作得到了华中科技大学陆培祥教授团队的合作与支持,并得到了国家自然科学基金面上项目、青年项目及太阳成集团tyc41183南湖学者青年项目(A类)的支持。
tyc41183太阳成集团超快光学研究团队现有全职研究人员14人,其中博士7人,在读博士1人,硕士生6人。承担国家自然科学基金项目7项,其中面上项目3项。在光学及原子分子物理国际主流期刊上发表论文100余篇,授权发明专利7项。培养的研究生6人进入双一流高校攻读博士学位,3人获得河南省优秀硕士学位论文,4人获得研究生国家奖学金,目前5人在高校及科研单位工作。团队与华中科技大学、中国工程物理研究院、中国科学技术大学、吉林大学、西南大学等单位一直保持紧密合作关系。
附录:近三年发表的代表性论文。
1. Yingbin Li, Fengrun Wu, Fanfei Liu, Shuaijie Kang, Zhengfa Li, Ke Zhang, Yifan Liu, Kuo Li, Chunyang Zhai, Jingkun Xu, Pu Wang, Qiming Zhao, Benhai Yu. Precise control of the recollision dynamics in nonsequential double ionization by spatially inhomogeneous few-cycle negatively chirped laser pulses. Chin. Phys. Lett. 42, 053703 (2025).
2. Chunyang Zhai, Yinmeng Wu, Yifan Liu, Ke Zhang, Shuaijie Kang, Zhengfa Li, Fengrun Wu, Xinzhe Dong, Xinyu Cheng, Yingbin Li, Qingbin Tang, Benhai Yu. Near-circularly polarized isolated attosecond pulse generation from gas mixture with two-color multicycle laser fields. Results Phys. 58, 107518 (2024).
3. Chunyang Zhai, Yifan Liu, Xiang Li, Xi Liu, Fengrun Wu, Shuaijie Kang, Zhengfa Li, Xinzhe Dong, Yingbin Li, Qingbin Tang, Xiaosong Zhu, Benhai Yu. Controlling the generation of elliptically polarized isolated attosecond pulses from mixed gases with a polarization-gating technique. Phys. Rev. A 110, 033507 (2024).
4. Jingkun Xu, Yingbin Li, Yidian Tian, Shuaijie Kang, Fanfei Liu, Yuchen Wang, Chunyang Zhai, Benhai Yu, Peixiang Lu, Yueming Zhou. Electron momentum correlation along laser magnetic field direction as a probe of nondipole effect in strong-field nonsequential double ionization. Opt. Express 32, 33452 (2024).
5. Keyu Guo, Yingbin Li, Min Li, Chuanpeng Cao, Xueqing Duan, Yang Liu, Yupeng Liu, Zichen Li, Jingkun Xu, Yueming Zhou, Benhai Yu, Peixiang Lu. Energy-dependent photoion angular distributions in two-body Coulomb explosions of molecules. J. Chem. Phys. 160, 114301 (2024).
6. Yingbin Li, Ke Zhang, Hongmei Chen, Shuaijie Kang, Zhengfa Li, Jianguo Cheng, Yinmeng Wu, Chunyang Zhai, Qingbin Tang, Jingkun Xu, Benhai Yu. Nonsequential double ionization of atoms driven by spatially inhomogeneous laser fields. Acta Phys. Sin. 72, 163201 (2023).
7. Jingkun Xu, Jintai Liang, Xiaomeng Ma, Kunlong Liu, Yingbin Li, Chuanpeng Cao, Min Li, Benhai Yu, Yueming Zhou, Peixiang Lu. Pronounced momentum shift against the radiation pressure in strong-field sequential double ionization. Phys. Rev. A 108, 043103 (2023).
8. Yingbin Li, Ke Zhang, Lingling Qin, Hongmei Chen, Shuaijie Kang, Zhengfa Li, Yinmeng Wu, Jingkun Xu, Chunyang Zhai, Qingbin Tang, Benhai Yu. Nonsequential double ionization of atoms driven by few-cycle counter-rotating two-color circularly polarized laser fields. Opt. Commun. 546, 129794 (2023).
9. Chunyang Zhai, Yinmeng Wu, Xiang Li, Ke Zhang, Shuaijie Kang, Zhengfa Li, Fengyan Guo, Yingbin Li, Qingbin Tang, Benhai Yu. Controlling polarization of high-order harmonics generated in the mixed gases with orthogonal two-color laser fields. J. Phys. B 56, 195601 (2023).
10. Qingbin Tang, Luke Shi, Ke Zhang, Shuaijie Kang, Zhengfa Li, Yinmeng Wu, Lingling Qin, Chunyang Zhai, Aihua Liu, Yingbin Li, Benhai Yu. Electron dynamics of molecular frustrated double ionization driven by strong laser fields. Commun. Theor. Phys. 75, 035502 (2023).
11. Chunyang Zhai, Yinmeng Wu, Lingling Qin, Xiang Li, Luke Shi, Ke Zhang, Shuaijie Kang, Zhengfa Li, Yingbin Li, Qingbin Tang, Benhai Yu. Elliptically polarized high-order harmonic generation in nitrogen molecules with cross-linearly polarized two-color laser fields. Chin. Phys. B 32, 073301 (2023).
撰稿人:许景焜,吴凤润 编辑:孙金土 / 初审:翟春洋 复审:李盈傧 终核:刘墨林


